Trichoderma species associated with green mold disease of Ganoderma lingzhi in Thailand
Chosita Ubolsuk and Chaninun Pornsuriya
DOI: 10.14456/sjst-psu.2022.1
Hevea rubber physiological status and relationships under different rubber-based intercropping systems
Zar Ni Zaw, Rawee Chiarawipa and Sayan Sdoodee
DOI: 10.14456/sjst-psu.2022.2
Individual social and economic position versus impact of collective services: Contribution to small-scale farmers’ adoption on single origin coffee processing scheme
Bayu Rizky Pratama and Sucihatiningsih Dian Wisika P.
DOI: 10.14456/sjst-psu.2022.3
Oogenesis, spermatogenesis and hatching rate of seawater-acclimated Nile Tilapia, Oreochromis niloticus
Biboon Withyachumnarnkul, Behnam Foroutan, Chompoonut Kerdmusik, Rapeepun Vanijviriyakij and Boonsirm Withyachumnarnkul
DOI: 10.14456/sjst-psu.2022.4
Nematode development and changes in enzymatic defensive activity in rice plants upon Meloidogyne graminicola infection for preliminary screening of resistant cultivars
Natthidech Beesa, Kansiree Jindapunnapat, Buncha Chinnasri and Thanunchanok Chairin
DOI: 10.14456/sjst-psu.2022.5
Factors affecting revealed symmetric comparative advantage of crude palm oil exports of Indonesia, Malaysia and Thailand
Rungrat Saeyang and Ayut Nissapa
DOI: 10.14456/sjst-psu.2022.6
Chemical composition, antioxidant and antibacterial activities of ultrasound-assisted extract of Annona squamosa L. leaves
Pornpun Siramon and Thitima Wongsheree
DOI: 10.14456/sjst-psu.2022.7
Gene expression of ethylene biosynthesis and ethylene signaling involved in chilling injury of Hom Thong Banana
Pattamawan Anusornpornpong and Wachiraya Imsabai
DOI: 10.14456/sjst-psu.2022.8
Effects of zero fishmeal diet on growth performance and immune response of Pacific white shrimp (Litopenaeus vannamei)
Kanin Patrachotpakinkul, Orapint Jintasataporn and Srinoy Chumkam
DOI: 10.14456/sjst-psu.2022.9
Potential of edible mushroom Pleurotus spp. for controlling root-knot nematode (Meloidogyne incognita) and their cuticle degrading enzyme production
Kanyani Chaiyadit and Thanunchanok Chairin
DOI: 10.14456/sjst-psu.2022.10
Assessing processes of change and innovation in smallholders agriculture around Tonle Sap Lake, Cambodia
Donira Khan, Didier Pillot and Prapinwadee Sirisupluxana
DOI: 10.14456/sjst-psu.2022.11
Alternative farming on the highland and livelihood assets of small scale farmers in Na Noi District, Nan Province, Thailand
Priyanud Chuensin, Budsara Limnirankul and Prathantip Kramol
DOI: 10.14456/sjst-psu.2022.12
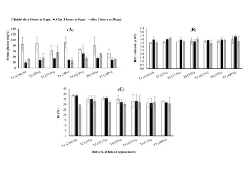
Effects of fish oil replacement by a combination of soybean and palm oil in Asian seabass (Lates calcarifer) diet on growth, fatty acid profile, digestive enzyme activity, immune parameters and salinity challenge
Md. Arefin Rahman, Chutima Tantikitti, Naraid Suanyuk, Ian Forster, Bullika Hlongahlee and Watcharit Tunpairoj
DOI: 10.14456/sjst-psu.2022.13
Cryoprotectants for cryopreservation of spermatozoa of tropical oyster Magallana bilineata (Röding, 1798)
Poon Wing Yee, Noorain Ilias, Nithiyaa Nilamani, Teh Chiew Peng and Aileen Tan Shau Hwai
DOI: 10.14456/sjst-psu.2022.14
Types of cells in the hepatopancreas of the Pacific whiteleg shrimp Litopenaeus vannamei being infected by Enterocytozoon hepatopenaei
Niroyhannah Nima, Pornsawan Duangsuwan, Pattira Pongtippatee, Daungkhaetita Kanjanasopa and Boonsirm Withyachumnarnkul
DOI: 10.14456/sjst-psu.2022.15
Reproductive biology of short mackerel, Rastrelliger brachysoma, off Pattani Bay, Lower Gulf of Thailand
Kay Khine Soe, Sukree Hajisamae, Nirattisai Petchsupa, Zeehan Jaafar, Hisam Fazrul and Siriporn Pradit
DOI: 10.14456/sjst-psu.2022.16
Image technology based detection of infected shrimp in adverse environments
Thi Thi Zin, Takehiro Morimoto, Naraid Suanyuk, Toshiaki Itami and Chutima Tantikitti
DOI: 10.14456/sjst-psu.2022.17
Effects of crude Anthocyanins from three plants on lipid contents in white leg shrimp (Penaeus vannamei)
Pongsakorn Limlek, Umaporn Pastsart, Parichart Ninwichian, Pichet Plaipetch and Sarayut Onsanit
DOI: 10.14456/sjst-psu.2022.18
Impact of climate change on farmer adaptation and tobacco productivity in Temanggung regency
Avi Budi Setiawan, Bayu Rizky Pratama, Nisa Sabtiningtias and Widya Fatriasari
DOI: 10.14456/sjst-psu.2022.19
Abundance of blood cockle (Tegillarca granosa) at Kuala Juru River Estuary, Penang, Malaysia
Nur Syahirah Roslan, Nuramira Syahira Saffian, Nithiyaa Nilamani, Norhanis Razalli, Nooraini Ilias, Hadzley Harith and Aileen Tan Shau Hwai
DOI: 10.14456/sjst-psu.2022.20
One-sided multivariate tests for high-dimensional data from two populations with unknown and unequal covariance matrices
Samruam Chongcharoen, Pawat Paksaranuwat and Manad Khamkong
DOI: 10.14456/sjst-psu.2022.21
Effect of filler wires on mechanical properties of super-duplex stainless steel UNS S32750 and austenitic stainless steel 304 dissimilar joints welded with PCGTAW technique
Balram Yelamasetti, Venkat Ramana G. and Tirupathi Kadam
DOI: 10.14456/sjst-psu.2022.22
Numerical simulations of single whispering-gallery mode enhancement in hollow cylindrical optical microcavity
Unchittha Prasatsap and Suwit Kiravittaya
DOI: 10.14456/sjst-psu.2022.23
Effect of additives on shelf-life of suspension of photosynthetic bacteria tested using full factorial experimental design
Piyarat Boonsawang and Wasan Sanguanmanasak
DOI: 10.14456/sjst-psu.2022.24
Numerical studies of free convection in ocean using a 2D-model
Taufiq Iskandar, Muhammad Ikhwan, Yudi Haditiar and Syamsul Rizal
DOI: 10.14456/sjst-psu.2022.25
Covariance matrix adaptation evolution strategy for robust load frequency control of hydro power systems
Nitish Katal, Sanjay Kumar and Sanjay Kumar
DOI: 10.14456/sjst-psu.2022.26
The efficiency of polysaccharide microencapsulation in improving survival of probiotic bacteria
Prasit Khumpouk, Napatsakorn Saichanaphan and Umaporn Khimmakthong
DOI: 10.14456/sjst-psu.2022.27
Formation potentiality and source apportionment analysis of secondary organic aerosol in urban and suburban area, Thailand
Lalidaporn Punya, Sarawut Thepanondh, Suphaphat Kwonpongsagoon, Wanna Laowagul, Nuttakit Sukjit and Pattaranan Hanma
DOI: 10.14456/sjst-psu.2022.28
Heritability and association for agronomic traits, sesamin and sesamolin of sesame in parental lines and their hybrids
Ittipon Khuimphukhieo and Parinda Khaengkhan
DOI: 10.14456/sjst-psu.2022.30
Simulation and visualization of rainfall overland flow based on diffusion equation
Anurak Busaman, Somporn Chuai-Aree and Rhysa McNeil
DOI: 10.14456/sjst-psu.2022.31
Can polydatin have a beneficial role against bisphenol an exposure in rats?
Recep Aslan, Hasan Hüseyin, Fatih Avdatek, Aziz Bülbül, Abdullah Eryavuz and Mehmet Şükrü Gulay
DOI: 10.14456/sjst-psu.2022.32
The effects of ubiquinol supplementation on clinical parameters and physical performance of trained men
Sumate Kunching, Thamthiwat Nararatwanchai, Thep Chalermchai, Karnt Wongsupasawat, Phakkarawat Sitiprapaporn and Akkapong Thipsiriset
DOI: 10.14456/sjst-psu.2022.33
The inhibitory effect of crude water extract of Musa sapientum inflorescence on Streptococcus mutans
Nattapon Rotpenpian, Uraiwan Sungchum, Sissada Tannukit and Suwanna Jitpukdeebodintra
DOI: 10.14456/sjst-psu.2022.34
A new immune-LQI controller to regulate dialysate conductivity
Jomana Mahmoud Diab and Sahar Alaly
DOI: 10.14456/sjst-psu.2022.35
Phenotypic characterization and antibiotic resistance in staphylococcus species associated with subclinical mastitis in goats
Ifeoma Chinyere Ugwu, Patrick Chukwudi Nwankwo, Chidozie Clifford Ugwu, Emmanuel Chukwudi Okwor, Didacus Chukwuemeka Eze and Didacus Chukwuemeka Eze
DOI: 10.14456/sjst-psu.2022.36
A review of types of feeds used in polychaete culture
Aiman Amanina Amran and Fatimah A’tirah Mohamad
DOI: 10.14456/sjst-psu.2022.37
Factors influencing readmission among Thais with heart failure
Rapin Polsook and Yupin Aungsuroch
DOI: 10.14456/sjst-psu.2022.38
Information retrieval through a knowledge base system: Semantic web based approach in South-Eastern Coastal areas of India
Anitha Velu and Menakadevi Thangavelu
DOI: 10.14456/sjst-psu.2022.39
Morphological characterization of the digestive system and health status of the invasive shortfin mollyPoecilia Mexicana Steindachner, 1863, in Thailand
Rossanan Aiyala, Sinlapachai Senarat, Jes Kettratad, Kitipong Angsujinda, Wannee Jiraungkoorskul, Wannee Jiraungkoorskul, Supparat Kong-oh, Gen Kaneko, Ezra Mongkolchaichana and Natthakitt To-orn
DOI: 10.14456/sjst-psu.2022.40