Songklanakarin Journal of Science and Technology (SJST)

Volume 45 No.5 (September - October 2023)

pp. 534 - 612

Groundwater temperature measurement of Chiang Mai basin

Chanakan Wisessan, Pisanu Wongpornchai, Fongsaward Suvagondha Singharajwarapan, Nattaporn Chaiyat and Pimwaree Thitiwatthanakarn

pp. 534 - 542 PDF PDF w/Links
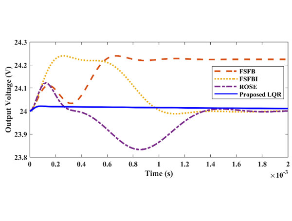
Optimal control of cuk converter using LQR

Deepak Kumar Singh, Saibal Manna and Ashok Kumar Akella

pp. 543 - 551 PDF PDF w/Links
Study of pioneer anomaly for anisotropic fluid in off-diagonal metric

Umair Ujala, Sacheendra Shukla and S. N. Pandey

pp. 561 - 569 PDF PDF w/Links
Grape skin and seed extracts as a potential natural solution for hair loss: A bioactivity evaluation

Pathomthat Srisuk, Watcharee Khunkitti, Chontira Khawee and Liudmila Yarovaya

pp. 578 - 584 PDF PDF w/Links
Development of QuEChERS/HPLC technique for the determination of veterinary drug residues in beef samples

Abibat Monisola Junaid, Muinat Ajoke Aliu, Abdulrahman Ibraheem, Aisha Ishaq, Abubakar Lawal, Ala Yahya Sirhan, Guan Huat Tan, Aliru Olajide Mustapha, Hajarat Yetunde Kazum and Lukman Bola Abdulrauf

pp. 599 - 604 PDF PDF w/Links

Related Links